Code Pumpkin

Archives

SnakeNLadder

March 31, 2017
Posted by Pumpkin

ticTacToeJavaImplementation

March 31, 2017
Posted by Pumpkin

Tic_tac_toe

March 31, 2017
Posted by Pumpkin

array_stack

March 31, 2017
Posted by Pumpkin

maze

March 31, 2017
Posted by Pumpkin

stack

March 31, 2017
Posted by Pumpkin

maxHeap

March 31, 2017
Posted by Pumpkin

maxHeap

heap

March 31, 2017
Posted by Pumpkin

heap

arrayHeap

March 31, 2017
Posted by Pumpkin

arrayHeap

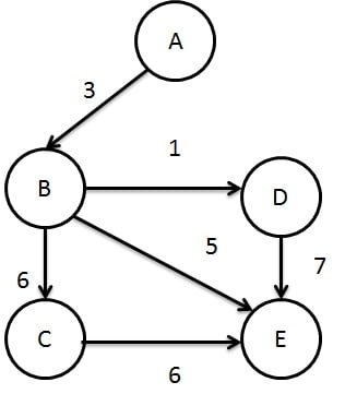
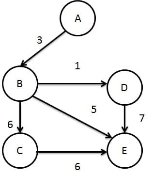
graph

March 31, 2017
Posted by Pumpkin

Directed Graph

Previous Posts Next posts
Total Posts : 124
follow us in feedly

Like Us On Facebook